Soal 10:
Seorang pemilik toko buku memiliki 6 buku matematika, 4 buku fisika, dan 3 buku kimia. Jika ia ingin menampilkan 3 buku secara berdampingan di jendela toko, berapa banyak cara yang berbeda ia bisa memilih buku-buku tersebut?
A. 288
B. 120
C. 60
D. 750
Pembahasan Soal 10
Jumlah buku matematika, fisika, dan kimia yang dimiliki oleh pemilik toko adalah masing-masing 6, 4, dan 3. Karena ia ingin menampilkan 3 buku secara berdampingan, maka kita harus menghitung permutasi untuk masing-masing jenis buku, kemudian menjumlahkannya. Jumlahnya adalah P(6,3) + P(4,3) + P(3,3). Setelah dihitung, kita mendapatkan 6! + 4! + 3! = 720 + 24 + 6 = 750. Oleh karena itu, jawaban yang tepat adalah D
Soal 11:
Berapa banyak cara yang berbeda untuk mengatur huruf-huruf dalam kata "KALKULUS"?
A. 5040
B. 720
C. 2520
D. 840
Pembahasan Soal 11:
Kata "KALKULUS" memiliki 8 huruf unik. Jumlah cara pengaturannya adalah 8! karena setiap huruf dianggap unik dan urutannya penting. Oleh karena itu, jawaban yang tepat adalah A.
Soal 12:
foto: istimewa
Berapa banyak permutasi yang mungkin dihasilkan dari himpunan tersebut?
A. 12
B. 24
C. 48
D. 4
Pembahasan Soal 12:
Dalam permutasi, urutan penting. Jumlah permutasi dari himpunan S yang terdiri dari 4 elemen adalah 4! atau 24. Oleh karena itu, jawaban yang tepat adalah B.
Soal 13:
Sebuah band terdiri dari 5 anggota. Berapa banyak cara yang berbeda untuk mengatur posisi mereka dalam barisan?
A. 20
B. 120
C. 240
D. 720
Pembahasan Soal 13:
Untuk mengatur posisi 5 anggota band dalam barisan, kita menggunakan konsep permutasi. Jumlah cara pengaturan adalah 5! karena ada 5 anggota dan urutannya penting. Oleh karena itu, jawaban yang tepat adalah D.
Soal 14:
Berapa banyak anagram yang mungkin dihasilkan dari kata "MATHEMATICS"?
A. 3628800
B. 1440
C. 720
D. 40320
Pembahasan Soal 14:
Kata "MATHEMATICS" memiliki 11 huruf unik. Jumlah anagram yang bisa dibuat dari kata tersebut adalah 11! karena setiap huruf dianggap unik dan urutannya penting. Oleh karena itu, jawaban yang tepat adalah A.
Soal 15:
Seorang guru ingin memilih 3 siswa dari kelasnya untuk mengikuti lomba matematika. Jika kelasnya terdiri dari 10 siswa, berapa banyak cara guru tersebut bisa memilih 3 siswa?
A. 30
B. 90
C. 120
D. 720
Pembahasan Soal 15:
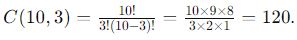
Kita harus menghitung kombinasi 3 siswa dari total 10 siswa. Jumlah kombinasi tersebut adalah
foto: istimewa
Oleh karena itu, jawaban yang tepat adalah C.
Recommended By Editor
- 20 Contoh soal ulangan bahasa Inggris kelas 12 semester 1 beserta kunci jawaban dan pembahasannya
- 15 Contoh soal penalaran umum UTBK SBMPTN, bisa untuk acuan di 2023
- 21 Contoh soal pilihan ganda PKN kelas 10 semester 2, serta pembahasan
- 15 Contoh soal modus dengan penjelasan, tak perlu khawatir rumit
- 31 Contoh soal pilgan essay Prakarya kelas 8 semester 2 dan jawaban


































